Navigation: Scatterers > Scatter Types > Harvey-Shack

 

Harvey-Shack

 

Contact Us: fredsupport@photonengr.com

 

 

 

Description


The Harvey-Shack model is linear shift-invariant with respect to incident angle and describes surface scatter from smooth optical surfaces over 2p steradians ( roughness sRMS << l).  The mathematical form of the modified three term Harvey model is given by:

 

The physical interpretation of the three terms, L, b0, and S, is provided in the context of the b - b0 plot below:

L - 'Knee' of the curve, typically between 0.0001 and 0.01 radians from specular

b0 - Peak of the curve at |b-b0| = 0

S - Slope of the curve, typically between -0.5 and -2 (S < -2.5 is "super-polished")

 

 

 

 

Navigation


This feature can be accessed by selecting Harvey-Shack (polished surface scatter) as the Scatter Type in the Create a new scatter model dialog box.

 

Controls


Control

Inputs / Description

Defaults

Name

Name of the model (required).

Scatter n

Description

Description of the model  (optional).

 

Type

Select Harvey-Shack from the pull down menu.

Lambertian

B0

Value of the BRDF at B = B0.

0.1

L

Value of the near specular BSDF rollover point (L=B-B0).

0.01

S

Slope of the BSDF at large B-B0.

-1.5

Additional data

Apply on Reflection

Apply the scatter model on reflection.

Checked

Apply on Transmission

Apply the scatter model on transmission.

Unchecked

Halt Incident Ray

For any surface with this scatter model assigned to it, no specular rays will leave the surface, regardless of the surface coating and raytrace property settings, if this toggle is checked.

Checked

 

OK

Accept settings and close dialog box.

 

Cancel

Discard settings and close dialog box.

 

Help

Access this Help page.

 

 

 

Application Notes


Linear shift invariance

The Harvey-Shack model is linear shift invariant, which means that the BSDF depends only on the difference between the sine of the specular angle (b0) and the sine of the scattered angle (b).  The angles b and b0 are always taken in the plane of the incident ray and are measured relative to the surface normal.

 

 

Scattered ray power

The relative scattered ray power in the specular direction (b-b0 = 0) is b0 multiplied by the projected solid angle in the specular direction. This product cannot exceed unity for a 100% scattering surface in order to obey conservation of energy.

 

 

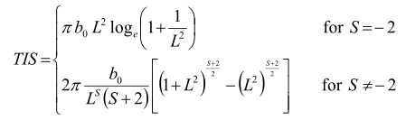
Relation to RMS Roughness

The total integrated scatter (TIS) can be calculated from the following relationship when the RMS surface roughness, srms, is much less than l:

 

 

For a mirror, Dn = 2, indicating that mirrors scatter more than refractive optics in the visible range.  The TIS is also calculated by integrating the BSDF, which gives the following relations for the Harvey model:

 

 

It is therefore possible to make reasonable assumptions for L and S and then solve for b0 to give the same TIS calculated from the RMS roughness.  For example, suppose that a mirror surface has a 50 Angstrom RMS roughness with visible light at l = 0.5 um.  The TIS calculated from the surface roughness is 0.015791.  Without knowing anything further about the surface, it is assumed that S = -1.5 and L = 0.01 radians.  Solving for the calculated TIS gives b0 = 1.396225 sr-1, completing the Harvey model definition.

 

 

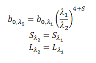
Wavelength invariance

The Harvey-Shack model is wavelength invariant, but a non-rigorous scaling law proposed by Harvey can be used with caution when the ratio of the wavelengths (l1/ l2) is between 1/3 and 3.

 

 

Note in the equations above that only the b0 parameter scales.  As the value of S is typically on the order of -2, it is often assumed that the scaling factor is simply the ratio of the wavelengths squared.

 

 

Scatter in transmission and reflection

All scatter models describe the BSDF as measured over a maximum of 2p steradians. Both transmitted and reflected scatter can be modeled by specifying the two scatter directions simultaneously with the appropriate direction controls found under the Scatter tab in the Surface Dialog.

 

 

Multiple scatter models

Multiple scatter models can be attached to the same surface. The scatter direction controls are then imposed on every attached model.

 

 

Examples

The following examples show a series of line plots of the Harvey-Shack BSDF as a function of scatter angle for specular angles of 0, 30, 45, 60, and 89 degrees. To illustrate the effect that changing L and S have on the scatter distribution, it is helpful to look at the function in log space. Each pair of plots to follow will show the angle space plot (as above) and its corresponding large angle specular log space plot. The ordinate axes for the log space plots are BSDF on the Y-axis, and |B-B0| on the X-axis.

 

The Harvey-Shack scatter parameters are b0 = 0.1, L = .01, and S = -1.5.

 

 

 

 

The Harvey-Shack scatter parameters are b0 = 0.1, L = .01, and S = -2.5. Changing the value of S from –1.5 to –2.5 causes the large angle scatter to fall off more rapidly.

 

 

 

 

The Harvey-Shack scatter parameters are b0 = 0.1, L = .001, and S = -1.5. Changing the value of L from .01 to .001 shifts the roll-off angle closer to specular, which has the effect of directing more of the scattered light into the specular direction. This also attenuates large angle scatter.

 

 

 

 

Related Topics


ABg – for polished surface scatter

Binomial - plane symmetric case of general Polynomial

Extended Harvey-Shack - shift variant form of the Harvey-Shack model

Extended Scripted - User-defined scattering function that allows manipulation of the scattered rays' polarization state

Flat Black Paint – specify Total Integrated Scatter (TIS)

K-Correlation – analytic PSD

Lambertian – for diffuse scatter

Phong – cosn from specular

Polynomial - General polynomial with diffuse and Lorentzian component

Scripted - User-defined scattering function

Surface Particle (Mie) – for particulate contamination

Tabulated BSDF – measured BSDF data

Tabulated PSD – measured PSD data

 

 

 

 

 

Copyright © Photon Engineering, LLC