Navigation: Scatterers > Scatter Types > Extended Harvey-Shack

 

Extended Harvey-Shack

 

Contact Us: fredsupport@photonengr.com

 

 

 

Description


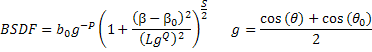
The Extended Harvey-Shack scatter model, developed by Alan W. Greynolds, is a variation of the standard Harvey-Shack scatter model that adds a dependence on the angle of incidence by using the functional form:

 

In the equation above,

q  = scatter angle with respect to the surface normal coordinate system

q0 = specular angle with respect to the surface normal coordinate system

b  = sin(q)

b0 = sin(q0)

 

The two |b - b0| plots below show the behavior for an Extended Harvey-Shack model with parameters b0=0.1, L=0.01, S=-1.5, P = 2, Q = 1 and a standard Harvey-Shack with parameters b0=0.1, L=0.01, S=-1.5.  Note that all of the curves of the standard shift-invariant Harvey-Shack model fall on top of each other while the variation on the specular angle is exhibited in the Extended Harvey-Shack by a separation of the curves.  Furthermore, notice that there is a distinct "tail" in the Extended Harvey-Shack model that is not present in the standard Harvey-Shack representation.

 

 

Navigation


This feature can be accessed by selecting Extended Harvey-Shack (polished surface scatter) as the Scatter Type in the Create a new scatter model dialog box.

 

 

Controls


Control

Inputs / Description

Defaults

Name

Name of the model (required).

Scatter n

Description

Description of the model  (optional).

 

Type

Select Extended Harvey-Shack from the pull down menu.

Lambertian

Parameters

b0

Value of the BRDF at b = b0 (towards specular).  The value of b0 must be greater than 0 and is typically between 0.001 and 10.0.

0.1

L

Value of the near specular BSDF rollover (knee) point at L = b - b0.  The value of L must be greater than 0 and is typically between 0.001 and 0.2.

0.01

S

Slope of the BSDF at large b - b0 (away from specular).  The value of S must be less than 0 and is typically between -0.5 and -3.0.

-1.5

P

Power of g (see equation above) in the near specular BRDF term.

2

Q

Power of g (see equation above) in the rollover term.

1

Additional data

Apply on Reflection

Apply the scatter model on reflection.

Checked

Apply on Transmission

Apply the scatter model on transmission.

Unchecked

Halt Incident Ray

For any surface with this scatter model assigned to it, no specular rays will leave the surface, regardless of the surface coating and raytrace property settings, if this toggle is checked.

Checked

 

OK

Accept settings and close dialog box.

 

Cancel

Discard settings and close dialog box.

 

Help

Access this Help page.

 

 

 

Related Topics


ABg – for polished surface scatter

Binomial - plane symmetric case of general Polynomial

Extended Scripted - User-defined scattering function that allows manipulation of the scattered rays' polarization state

Flat Black Paint – specify Total Integrated Scatter (TIS)

Harvey-Shack – for polished surface scatter

K-Correlation – analytic PSD

Lambertian – for diffuse scatter

Phong – cosn from specular

Polynomial - General polynomial with diffuse and Lorentzian component

Scripted - User-defined scattering function

Surface Particle (Mie) – for particulate contamination

Tabulated BSDF – measured BSDF data

Tabulated PSD – measured PSD data

 

 

 

 

 

Copyright © Photon Engineering, LLC