Navigation: Geometry > Surfaces > Surface Dialog Tabs > Grating > Simple Efficiency Table

 

Simple Efficiency Table

 

Contact Us: fredsupport@photonengr.com

 

 

 

Description


The Simple efficiency table for diffraction gratings allows the user to define the relative power in each diffraction order as a function of wavelength.  Efficiency values are calculated during the raytrace by linearly interpolating across the table for the appropriate wavelength value.  If the wavelength being traced lies outside the bounds of the values specified in the table, the nearest endpoint value is used.  Specifying a single wavelength in the table will force all wavelengths to use the specified efficiency values.  Note that there is no designation of angle, polarization, reflection or transmission dependence on efficiency with this model (see the Full Efficiency Table specification).

 

 

Navigation


The Simple efficiency table specification can be accessed from the Grating tab of a surface dialog.  The section on the right hand side of the dialog corresponds to the diffraction efficiency specification for the grating.  In the drop-list box, select "Simple efficiency table (function of wavelength only)".

 

 

 

Controls


 

 

Control

Inputs / Description

Defaults

Wavelengths (microns)

Each row in the simple diffraction efficiency table designates a unique wavelength for which the efficiency at each diffraction order can be specified.

 

Wavelengths can be inserted, appended or deleted to/from the table by right mouse clicking in the table and choosing the appropriate menu option.

 

Default system wavelength

Diffract Orders

Only the orders specified in the efficiency table will be calculated during the raytrace, so the user must designate all potential orders of interest in the grating tab.  If a diffraction order is determined to be evanescent during the raytrace, no ray will be generated for that order.

 

Diffraction orders can be added, inserted or deleted to/from the efficiency table by right mouse clicking in the spreadsheet area and choosing the appropriate menu option.

 

The order (+1, -2, +3, etc.) can be designated by highlighting the value in the column header and typing in the desired value.  Alternatively, left mouse clicking in the column header will activate up and down arrows on the right side of the header cell which can be used to increment the diffraction order value.

 

1st order

 

 

Scalar Diffraction Efficiency


Although diffractive components are designed to operate in a particular diffraction order, diffractive components rarely diffract light into just a single order.  In real hardware, the incident energy is partitioned into the intended order and a range of nearby unintended orders.  To the stray light analyst, knowledge of the diffraction efficiencies in the various orders is therefore a matter of significance.  Unfortunately, the analyst very often has no knowledge of the magnitudes of the diffraction efficiencies in any order for a variety of reasons; the vendor does not provide this data, the part has not been fabricated, there is a large variability in the surface structure leading to a large variation in the diffraction efficiencies, etc.

 

Rigorous diffraction theory involving numerical solutions to Maxwell’s equations is required to determine the efficiency with which light is redistributed among the various diffraction orders.  However, this is a non-trivial calculation involving an exact description of the surface structure and a knowledge of the electrical, optical and bulk properties of the substrate and film(s).  This type of numerical solver is not available within FRED itself, though it is implemented in a number of commercial software packages such as GSolver (www.gsolver.com). 

 

For many applications, scalar diffraction theory can offer a more expedient calculation of the diffraction efficiencies than rigorous Maxwell's solvers at the expense of accuracy.  Implicit in the scalar calculations is the assumption that the local period of the diffractive structure is much larger than the wavelength of the incident light (with extended scalar diffraction theory, the ratio of the wavelength of incident light to the local period can be as high as 0.5).

 

Reference: Swanson, G., “Binary Optics Technology: Theoretical Limits on the Diffraction Efficiency of Multilevel Diffractive Optical Elements”, MIT Technical Report 914 (1991)).

 

 

Scalar Diffraction Efficiency Calculator


When the simple efficiency table option is selected, a scalar diffraction efficiency calculator can be used to populate the efficiency table with approximate values based on scalar diffraction theory for blazed gratings, kinoforms, binary optics, and sinusoidal gratings.  The diffraction efficiency calculator dialog can be opened by right mouse clicking in the simple diffraction efficiency table spreadsheet and selecting "Set Diffraction Efficiency" from the list menu.

 

Note that this tool populates the existing table with efficiency values.  All wavelength and orders desired to be included in the efficiency calculations should be added to the table prior to running the scalar diffraction efficiency calculator tool.

 

Control

Inputs / Description

Defaults

Type

Grating Type

Type of diffractive structure to calculate efficiency for:

Idealized Blazed

Binary Optic

Kinoforms

Sinusoidal

If binary optic is selected, the user must also enter the number of phase steps.

Ideal Blazed

Blaze Depth

Blaze Depth

Depth of diffractive structure in system units. FRED can calculate the optimum value based on the other inputs, or the user may enter a specific value.

Compute Max

Reference Wavelength

Reference Wavelength

Wavelength at which diffraction efficiency is optimized.

User-selected default wavelength as set on the Preferences > Miscellaneous 2 Tab

Reference Order

Diffraction order at which diffraction efficiency is optimized.

1

Type

Grating type

Select Reflective or Transmissive grating

Reflection

Materials

Grating material

Incident and substrate material. Choose from materials in the Material Folder. In the case of reflective diffractive structure, the substrate medium is deactivated.

(Air, Standard Glass)

 

 

 

Diffraction efficiency for an Ideal Blazed grating

For the Ideal Blazed grating type, the efficiency for all wavelengths at the reference order is set to 1 and the efficiency at all other orders is set to 0.  This behavior is similar to the default behavior found in most optical design programs.

 

 

Diffraction efficiency and phase for a Binary Optic 

In a binary optic, the linear ramp phase function is approximately by P equally incremented constant phase steps.  The diffraction efficiency at a specific order m and wavelength l is given by:

 

 

where m0 is the reference diffractive order, and a is given by (l0/l)*(d/dmax) where l0 is the reference wavelength, d is the blaze depth, and dmax is the optimum blaze depth.

 

The phase function is shown in the following diagram:

 

 

 

Diffraction efficiency and phase for a Kinoform 

In a kinoform, the phase function is a simple linear ramp.  The diffraction efficiency at a specific order m and wavelength l is given by:

 

 

where m0 is the reference diffractive order, and a is given by (l0/l)*(d/dmax) where l0 is the reference wavelength, d is the blaze depth, and dmax is the optimum blaze depth.

 

The phase function for the Kinoform is the following:

 

 

 

Diffraction efficiency and phase for a sinusoidal grating 

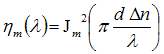
In a sinusoidal grating, the phase function is a sine wave. The diffraction efficiency at a specific order |m| and wavelength l is given by:

 

 

where d is the blaze depth, and Dn is the absolute value of the refractive index difference across the interface.  Note that the diffraction efficiency of a sinusoidal grating is substantially less than those of other grating types.

 

The phase function for the Sinusoidal Grating is shown in the following diagram:

 

 

 

Related Topics


Gratings Overview

Grating Types

Full Efficiency Table

Volume Hologram Efficiency

 

 

 

 

 

 

Copyright © Photon Engineering, LLC