Navigation: Materials > Materials Types > Model Material

 

Model Material

 

Contact Us: fredsupport@photonengr.com

 

 

 

Description


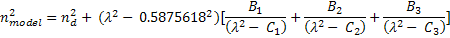
The Model Material type calculates the non-linear refractive index as defined by the refractive index and the Abbe V-number at the helium ‘d’ line (0.587562 mm) using a modified Sellmeier formula.  This material type is an alternative to the Sampled Material for creating a glass model that is not available from any of the default catalogs.  The modified Sellmeier formula used for the model material is the following:

 

 

 

Navigation


This feature can be accessed in the following ways:

Open a materials dialog and select "Model Material" as the type

 

 

Controls


Control

Inputs / Description

Defaults

Name

Enter a material name.

Material n

Description

Enter a brief description of the material.

Blank

Type

Select "Model Material" from the pull down menu

Sampled Material

Model Material Parameters

Nd

Enter the refractive index at the ‘d’ wavelength.

1.5

Vd

Enter the Abbe number at the ‘d’ wavelength.  When Vd = 0, there is no dispersion in the material.

64

 

OK

Accept settings and close the dialog

 

Cancel

Cancel settings and close the dialog

 

Help

Help

 

 

 

Application Notes


Applying by drag and drop

A material can be applied to a surface via drag and drop onto that surface.

 

 

Summary and detailed reports

A report of all materials currently contained in the Materials folder can be printed to the output window by right mouse clicking on the materials folder and selecting either "Summary Report" for a brief summary or "Detailed Report" for a complete listing of all the materials defined in the FRED document.  

 

The summary report option prints the name and description of all defined materials.

 

The detailed report option prints all information relevant to the material including any coefficient specifications, real and imaginary refractive indices and absorption specifications.  The wavelengths at which each material is evaluated is generated by searching through all the existing sources for unique wavelengths regardless of whether the source is designated Traceable or Not Traceable.

 

 

Script Commands

 

Functions and Subroutines

AddModelMaterial

SetModelMaterial

GetModelMaterial

 

Associated Data Type

T_MODELMATERIAL

 

Script Examples

The following example adds a Model Material to the FRED file associated with this script.

 

Dim m As T_MODELMATERIAL
m.Name = "Model Material Example"
m.Description = "Sample from FRED documentation"
m.Nd = 1.6
m.Vd = 55
AddModelMaterial m

 

The following example sets the name of the fourth material in the material array to “Model Example 2”, as long as that material is a Model material. It fails if it is any other material type.

 

Dim m As T_MODELMATERIAL
m.Name = "Model Example 2"
SetModelMaterial4, m

 

The following example gets the fourth material in the material array and prints its name, as long as that material is a Model material. It fails if it is any other material type.

 

Dim m As T_MODELMATERIAL
GetModelMaterial 4, m
Print m.Name

 

 

Related Topics


Materials Folder

Materials - Create / Edit Materials Types

 

 

 

 

 

Copyright © Photon Engineering, LLC