Navigation: Materials > Add Glass Catalog Material

 

Add Glass Catalog Material

 

Contact Us: fredsupport@photonengr.com

 

 

 

Description


This feature allows materials nodes to be added to the Materials folder on the object tree using definitions from vendor catalogs.  The following vendor catalogs are available:

Schott

Ohara

Hoya

Pilkington

Corning

Sumita

Chengdu

Hikari

Heraeus

Archer

CDGM

Custom

NHG

RPO

Schott Radiation Resistant

 

 

Navigation


This feature can be accessed in the following ways:

Right mouse click on the Materials folder in the object tree and select "Add Glass Catalog Material" from the list menu.

 

 

Controls


Control

Inputs / Description

Defaults

Material Catalog

Select vendor catalog from pull down menu.

Schott

Material Name

[Note editable - will be designated from catalog]

 

Name

Vendor assigned glass name.

 

Information

Various datums regarding the available catalog materials depending on the selected vendor.

 

 

OK

Add material and close dialog box.

 

Cancel

Discard material and close dialog box.

 

Apply

Add material and keep dialog box open.

 

Help

Access this Help page.

 

 

 

Application Notes


Editing catalog glasses

Only the Custom Glass catalog can be modified by the user.  The CustomGlass.dat file can be found in the directory <FRED install dir>\Resources\Glass Catalogs\Custom and can be modified using a simple text editor such as Notepad.  Materials added to this data file will be available in FRED using the Custom catalog in the Add Glass Catalog Material dialog.  The header of the CustomGlass.dat file shows the required syntax for adding custom materials using one of the following formats:

 

Wavelength-Index Pairs

Wavelength (um)          nreal          nimag

 

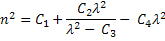
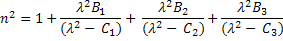
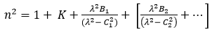
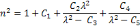
Sellmeier 1

 

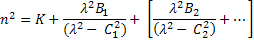
Sellmeier 2

 

Sellmeier 3

 

Sellmeier 4

 

Sellmeier 5

 

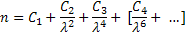
Cauchy

 

Dispersion 1

 

Dispersion 2

 

Dispersion 3

 

Dispersion 4

 

Dispersion 5

 

Dispersion 6

 

Dispersion 7

 

Dispersion 8

 

Dispersion 9

 

Additionally, the internal transmission of a custom catalog material can be specified by appending tabulated transmission data to the material specification immediately following the definition of the material dispersion.  The format for specifying the tabulated transmission data is the following:

 

! Internal Transmission on|off <ref thickness> <thickness scale factor to millimeters>

! <wavelen> <transmittance>    ! wavelength in units of microns

! <wavelen> <transmittance>

!  ...

!  ...

! <blank line>                 ! must have at least one blank line

 

For example, SUPRAX has the following dispersion and internal transmission definition in the Custom Material catalog:

 

SUPRAX   Suprax8488 Suprax_8488 Suprax-8488

Borosilicate glass   Wavelength range: 0.3-1.0 um   Source: Auer Lighting GmbH http://www.auer-lighting.com

Wavelength-Index

0.001

365.01,1.4998

404.66,1.4944

435.83,1.4911

479.99,1.4874

486.13,1.4870

546.07,1.4836

587.56,1.4818

589.29,1.4817

643.85,1.4799

656.27,1.4796

706.52,1.4783

768.20,1.4771

852.11,1.4759

1013.98,1.4743

Internal Transmission off 10.0 1.0

0.3,0.04105

0.31,0.24451

0.32,0.52729

0.33,0.7412

0.34,0.87024

0.35,0.93115

0.36,0.96268

0.365,0.97018

0.37,0.97533

0.377,0.96515

0.378,0.9602

0.38,0.9629

0.385,0.97365

0.39,0.97991

0.395,0.98462

0.4,0.98555

0.41,0.98216

0.42,0.97965

0.43,0.97836

0.44,0.97862

0.45,0.97999

0.46,0.98236

0.47,0.98455

0.48,0.98618

0.49,0.98843

0.5,0.98824

0.51,0.98956

0.52,0.99009

0.53,0.99061

0.54,0.99029

0.55,0.99228

0.56,0.99278

0.57,0.99153

0.58,0.99092

0.59,0.99062

0.6,0.99007

0.65,0.9872

0.7,0.98331

0.75,0.97344

0.8,0.96353

0.85,0.953

0.9,0.94577

0.95,0.93881

1.0,0.9337

 

Import file materials

When a file is imported, if FRED cannot find a matching glass in the existing catalogs, a warning message will be printed to the output window and in the name of the material.  Note that for Zemax imports, the glass catalog files will be searched by FRED during import if they are located in the same directory as the *.zmx file being imported.

 

Material assignment

A material can be applied to a surface via drag and drop onto that surface.  Additionally, if a material node is drag and dropped onto a high level node construct (ex. subassembly, custom element, element boolean, etc.), that material property is inherited by all descendants of that node.

 

 Catalog data view

Each of the materials catalogs display the materials data differently. The different catalogs can be chosen by selecting an option from the Material Catalog drop down menu.  In addition to displaying the values of Nd and Vd, some catalogs will display equivalent glasses from the other catalogs (i.e. Schott equivalent).

 

Sorting data by header

The glass list for all of the catalogs can be sorted according to Name(s), Nd, and Vd by left mouse clicking on the appropriate column header. The default order for the list is alphabetical by vendor name. If a column is numerical, the materials will be ordered by increasing or decreasing numerical values.

 

 

Related Topics


Materials - Tree Menu

Sampled Material

Model Material

 

 

 

 

 

Copyright © Photon Engineering, LLC