Navigation: Analyses Commands > Fiber Coupling Efficiency

 

Fiber Coupling Efficiency

 

Contact Us: fredsupport@photonengr.com

 

 

 

Description


This analysis feature calculates the coupling efficiency between the incident field and the fundamental mode of a single mode fiber given the fiber specifications.  The analysis surface used to calculate the efficiency should be sized slightly larger than the mode size of the fiber and the number of divisions in the analysis surface determines the resolution of the integration for determining the coupling efficiency.  If multiple wavelengths are found in the rayset being used for analysis, the calculation is performed at the first wavelength found.  When calculating the coupling efficiency (CE), FRED computes an overlap integral between the field incident on the fiber and the fiber mode according to the following equation:

 

In general, the coupling efficiency is a complex quantity and the power efficiency can be determined from the following equation:

 

 

Similarly, the dB efficiency can be determined from the following equation:

 

 

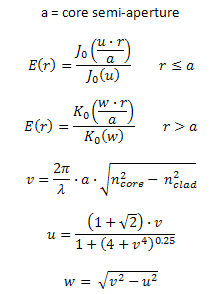
The field that FRED uses (Efiber) in the coupling efficiency calculation takes the following forms:

Step-index Fiber

Gaussian-index Fiber

 

After the analysis is performed, the following information will be printed to the FRED output window:

Efficiency (Power) - Fraction of the incident field power that couples with the fiber mode

Efficiency (dB) - Power efficiency in decibels

Efficiency (Phase) - Phase of the complex efficiency

Efficiency (Real part) - The Real component of the complex efficiency calculated in the overlap integral

Efficiency (Imaginary part) - The Imaginary component of the complex efficiency calculated in the overlap integral

Integration Area Information - Displays the grid information used in the integration of the coupling efficiency.

Ray Information - Displays the number of coherent rays, the number of rays used in the calculation, the number of rays with ray errors, the time elapsed during the calculation and the wavelength of the rays used in the calculation.

Fiber Type - Type of fiber selected for the coupling efficiency calculation

Value - Parameter values used during the coupling efficiency calculation

 

NOTE: This feature does not support multi-mode fibers.

 

 

Navigation


This command can be accessed in the following ways:

Menu > Analysis > Fiber Coupling Efficiency

Ctrl + Shift + F

Toolbar button:

 

 

Controls


Control

Inputs / Description

Defaults

Analysis Surface

List of all available analysis surfaces for calculation

First analysis surface found

Fiber Type

Fiber type for calculation; Step-index or Gaussian fundamental mode

Step-index

Fiber Type Options

Parameter options for the selected Fiber Type:

Ncore - Refractive index of the fiber core

Nclad - Refractive index of the fiber cladding

Semi-Ape - Semi-aperture of the fiber core

Step Index:

Ncore = 1.55
Nclad = 1.5
Semi-Ape = 0.001

Gaussian fundamental mode:

Semi-Ape = 0.001

Index = 1.5

Include reflection (Fresnel) losses at the fiber end

Calculate Fresnel losses at the end of the fiber using the refractive index of the core.

Unchecked

 

OK

Perform analysis and close dialog box.

 

Cancel

Discard analysis and close dialog box.

 

Apply

Perform analysis and keep dialog box open.

 

Help

Access this Help page.

 

 

 

Related Topics


Best Geometric Focus

FiberCoupleStepIndex

FiberCoupleGaussian

 

 

 

 

 

Copyright © Photon Engineering, LLC