Navigation: Sources > Directional Apodization > Gaussian

 

Gaussian

 

Contact Us: fredsupport@photonengr.com

 

 

 

Description


This apodization option scales the flux of each individual source ray according to its ray direction (in the source's local coordinate system) such that a Gaussian angular profile with the specified 1/e2 half width is achieved.  The Gaussian function is always centered on the Z axis direction of the source node.  This Gaussian directional apodization is usually applied to incoherent sources with random ray directions to represent beams for which coherent properties are disregarded.  When applied to coherent Gaussian sources, erroneous results may be reported.

 

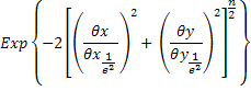
The functional form of the apodization function in angle space is given by the equation below, where Qx and Qy are the ray's direction in the local coordinate system of the source:

 

 

 

 

 

 

Navigation


The Gaussian directional apodization is available on the Power tab of a Detailed Source dialog.  From the Power tab, select "Gaussian" from the drop down menu of directional apodization types.

 

 

Controls


The following table describes the available controls on the Power tab of a Detailed Source dialog.  Of interest to this help topic are the Direction Apodization parameter settings.

 

Control

Inputs / Description

Defaults

Total Power

Total power of the source after both the position and direction apodization functions have been applied to the rays.

1

Position Apodization

Type

Drop down menu of available position apodization types.

Uniform

Parameters

Dependent on selected Type.

 

Direction Apodization

Type

Drop down menu of available direction apodization options. Select  "Gaussian" from the drop-down menu.

Uniform

Parameters

n

The Gaussian angular profile is given by Exp[ -2rn/2 ], where

r = [ (X/XAngle)2 + (Y/YAngle)2 ].  Use a value of 2 for a standard Gaussian form.

1

X-Angle

X half-angle at 1/e2 half angle in degrees.

0

Y-Angle

Y half-angle at 1/e2 half angle in degrees.

0

 

OK

Accept settings and close the dialog box.

 

Cancel

Discard settings and close the dialog box.

 

Apply

Apply settings and keep the dialog box open.

 

Help

Access this Help page.

 

 

 

 

Related Topics


Direction Apodization - Uniform Unit Apodization

Direction Apodization - Lambertian in a given direction

Direction Apodization - Inverse Lambertian in a given direction

Direction Apodization - cos^n or sin^n in a given direction

Direction Apodization - Sampled as a function of Spherical Angles 

 

 

 

 

 

Copyright © Photon Engineering, LLC