|
Description
Creates an X or Y toroidal aspheric surface by specification of the asphere direction, base radius of curvature in X and Y, conic constant, and even or odd aspheric coefficients in X or Y.
The following table describes the mathematical form of a surface which is aspheric in the Y-direction.
|
Surface Sag
|

|
|
Relations
|


|
|
Functional Form
|

|
|
X-derivative
|

|
|
Y-derivative
|


|
|
Z-derivative
|

|
The following table describes the mathematical form of a surface which is aspheric in the X-direction.
|
Surface Sag
|

|
|
Relations
|


|
|
Functional Form
|

|
|
X-derivative
|


|
|
Y-derivative
|

|
|
Z-derivative
|

|
Navigation
This feature can be accessed by selecting XY Toroidal Asphere (X or Y toroid with even/odd aspheric terms) as the surface type on the Surface tab of a surface dialog box.
Controls
|
Control
|
Inputs / Description
|
Defaults
|
|
Logical Parent
|
Name of Parent entity.
|
Custom Element Name
|
|
Name
|
Name of surface supplied by user.
|
Surf n
|
|
Description
|
Description of the surface.
|
|
|
Traceable
|
Surface can be raytraced.
|
Checked
|
|
Use for trimming only
|
Never raytrace. Surface used for trimming only.
|
Unchecked
|
|
Type
|
Surface type. Select XY Toroidal Asphere.
|
Plane
|
|
Surface Settings
|
|
Toroid Type
|
Choose an X- or Y-toroid.
|
Y toroid
|
|
X,Y Rad
|
X & Y radii of curvature.
|
0
|
|
X,Y Conic
|
X or Y Conic constants.
|
0
|
|
Ai coefficients
|
Aspheric term coefficients.
|
0
|
|
|
|
OK
|
Accept settings and close dialog box.
|
|
|
Cancel
|
Discard settings and close dialog box.
|
|
|
Apply
|
Accept settings and keep dialog box open.
|
|
|
Help
|
Access this Help page.
|
|
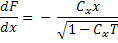
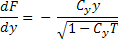
Application Notes
Functional form
The function form of the XY Toroidal asphere is given by
.png)
.png)
Surface deformation
The XY Toroidal asphere is a sagable surface.
Related Topics
Surface types summary
Create a new surface
|
Copyright © Photon Engineering, LLC
|
|