|
Description
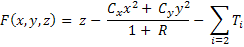
Creates a toroidal aspheric surface by specification of the base radius of curvature, conic constant and even order aspheric coefficients in X and Y. The following table describes the mathematical form of the Toroidal Asphere surface.
|
Surface Sag
|

|
|
Relationships
|


|
|
Functional Form
|

|
|
X-derivative
|

|
|
Y-derivative
|

|
|
Z-derivative
|

|
Navigation
This feature can be accessed by selecting Toroidal Asphere (Toroid, Potato chip, etc., with non-symmetric aspheric terms) as the surface type on the Surface tab in a surface dialog box.
Controls
|
Control
|
Inputs / Description
|
Defaults
|
|
Logical Parent
|
Name of Parent entity.
|
Custom Element Name
|
|
Name
|
Name of surface supplied by user.
|
Surf n
|
|
Description
|
Description of the surface.
|
|
|
Traceable
|
Surface can be raytraced.
|
Checked
|
|
Use for trimming only
|
Never raytrace. Surface used for trimming only.
|
Unchecked
|
|
Type
|
Surface type. Select Toroidal Asphere.
|
Plane
|
|
Surface Settings
|
|
Rad
|
X & Y radii of curvature.
|
0
|
|
Conic
|
X & Y Conic constants.
|
0
|
|
Ai, Bi coefficients
|
X & Y aspheric term coefficients.
|
0
|
|
|
|
OK
|
Accept settings and close dialog box.
|
|
|
Cancel
|
Discard settings and close dialog box.
|
|
|
Apply
|
Accept settings and keep dialog box open.
|
|
|
Help
|
Access this Help page.
|
|
Application Notes
Surface deformation
The Toroidal asphere is a sagable surface.
Related Topics
Surface types summary
Create a new surface
|
Copyright © Photon Engineering, LLC
|
|