Navigation: Geometry > Surfaces > Surface Types > Cylinder

 

Cylinder

 

Contact Us: fredsupport@photonengr.com

 

 

 

Description


This feature allows creation of a cylindrical surface aligned along the z-axis and having front and back aperture shape factors between 0 (ellipse) and 1 (rectangle).  Consider the image below which can be considered as four plane surfaces, two in the x-z cartesian plane and two in the y-z cartesian plane.

 

 

The functional form of this structure, assuming the four-plane construction, is the following:

 

 

 

 

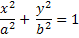
Now consider the general equation for an ellipse:

 

 

 

The equations for the four-plane construction and the ellipse are identical with the exception of a factor x2y2!  Supposing that we apply a scaling factor to the additional x2y2 term of the four-plane construction, the functional form becomes:

 

 

As the shape factor, q, varies between 0 and 1, the surface described by this function will have an aperture shape that can be specified as purely elliptical (q = 0), purely rectangular (q = 1), or anything in between.  The image below shows a cylinder surface type with xsemi and ysemi = 1 at both the cylinder ends, Z locations at -2 and 2, q = 0 (ellipse) for the front end, and q = 1 (rectangle) for the back end.

 

 

 

Navigation


This feature can be accessed by selecting Conicoid (Sphere, Ellipse, Parabola, Hyperbola, etc.) as the surface type on the Surface tab of a surface dialog box.

 

 

Controls


Control

Inputs / Description

Defaults

Logical Parent

Name of Parent entity.

Custom Element Name

Name

Name of surface supplied by user.

Surf n

Description

Descriptive text.

 

Traceable

Surface can be raytraced.

Checked

Use for trimming only

Never raytrace. Surface used for trimming only.

Unchecked

Type

Surface type.

Cylinder

Surface Settings

X/Y semi-Ape

Semi-aperture at cylinder ends.

0

Z Location

Starting and ending location of cylinder.

0

Shape

Specifies shape at ends of cylinder (ellipse=0 <= shape <= 1=rectangle)

0

 

OK

Accept settings and close dialog box.

 

Cancel

Discard settings and close dialog box.

 

Apply

Accept settings and keep dialog box open.

 

Help

Access this Help page.

 

 

 

Application Notes


Surface deformation

The Cylinder is a sagable surface.

 

 

Z-location specification

The Z-location specification does not set the length of the cylinder surface.  Rather, the Z-Location setting simply specifies the Z positions at which the cylinder surface has the designated aperture shapes.  The length of the cylinder surface is set on the Aperture tab of the cylinder surface.

 

 

Related Topics


Surface types summary

Create a new surface

 

 

 

 

 

Copyright © Photon Engineering, LLC