|
Description
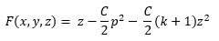
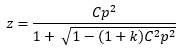
This surface type describes a conicoid as defined by the base radius of curvature (R) and conic constant (k). The following table describes the mathematical form of the conicoid surface type.
|
Relation
|

|
|
Surface Sag
|
.png)
|
|
Functional Form
|
.png)
|
Navigation
This feature can be accessed by selecting Conicoid (Sphere, Ellipse, Parabola, Hyperbola, etc.) as the surface type on the Surface tab in a surface dialog box.
Controls
|
Control
|
Inputs / Description
|
Defaults
|
|
Logical Parent
|
Name of Parent entity.
|
Custom Element Name
|
|
Name
|
Name of surface supplied by user.
|
Surf n
|
|
Description
|
Descriptive text.
|
|
|
Traceable
|
Surface can be raytraced.
|
Checked
|
|
Use for trimming only
|
Never raytrace. Surface used for trimming only.
|
Unchecked
|
|
Type
|
Surface type.
|
Conicoid
|
|
Surface Settings
|
|
Rad
|
Radius of curvature.
|
0
|
|
Conic
|
Conic constant.
|
0
|
|
|
|
OK
|
Accept settings and close dialog box.
|
|
|
Cancel
|
Discard settings and close dialog box.
|
|
|
Apply
|
Create settings and keep dialog box open.
|
|
|
Help
|
Access this Help page.
|
|
Application Notes
Surface deformation
The conicoid is a "non-sagable" surface. Therefore, it cannot be used as a deforming surface. A "sagable" surface is defined as single-valued in z.
Related Topics
Surface types summary
Create a new surface
|
Copyright © Photon Engineering, LLC
|
|