|
Description
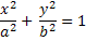
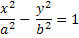
This surface type describes a conic surface as defined by the (x,y,z) positions of the conic focii, the (x,y,z) position of a point on the surface and selection of the eccentricity as either Ellipsoid or Hyperboloid. In the following table of equations, which define the functional form of the surface, a is the semi-major axis length and b is the semi-minor axis length.
|
|
Ellipsoid
|
Hyperboloid
|
|
Functional Form
|

|

|
|
Eccentricity
|

|

|
|
Origin - Focus Distance
|

|

|
Navigation
This feature can be accessed by selecting Conic Foci (Ellipsoid/Hyperboloid defined by two foci and a surface point) as the surface type on the SURFACE tab of a surface dialog box.
Controls
|
Control
|
Inputs / Description
|
Defaults
|
|
Logical Parent
|
Name of Parent entity.
|
Custom Element Name
|
|
Name
|
Name of surface supplied by user.
|
Surf n
|
|
Description
|
Description of the surface.
|
|
|
Traceable
|
Surface can be raytraced.
|
Checked
|
|
Use for trimming only
|
Never raytrace. Surface used for trimming only.
|
Unchecked
|
|
Surface Type
|
Surface type.
|
Conic Foci
|
|
Surface Settings
|
|
Focus
|
Positions of Conic foci.
|
(0,0,-0.5)(0,0,0.5)
|
|
Point
|
Any point on the surface.
|
0,0,0.75
|
|
Type
|
Specifies shape of Conicoid (Ellipsoid, Hyperboloid)
|
Ellipsoid
|
|
|
|
OK
|
Accept settings and close dialog box.
|
|
|
Cancel
|
Discard settings and close dialog box.
|
|
|
Apply
|
Accept settings and keep dialog box open.
|
|
|
Help
|
Access this Help page.
|
|
Application Notes
Surface deformation
The Conic Focii is a "non-sagable" surface and therefore cannot be used as a deforming surface. A "sagable" surface is defined as single-valued in z.
Related Topics
Surface types summary
Create a new surface
|
Copyright © Photon Engineering, LLC
|
|