Navigation: Tools Commands > BSDF Data Fitting > Binomial/Polynomial Data Fitting

 

Binomial/Polynomial Data Fitting

 

Contact Us: fredsupport@photonengr.com

 

 

 

Description


This utility fits data from a properly formatted file to isotropic Diffuse Binomial/Polynomial scatter models shown below and leverages the file format and interpolation scheme of the Tabulated BSDF scatter model prior to fitting the data.  An option exists on the dialog for opening up a preview plot of the raw data as well as the fitted model for confirmation of the fit before adding the model to the document.  Remember that due to the nature of the polynomial functions, it is particularly important to plot the resulting model after it has been added to the tree since the preview plot only displays fitted data at the same angles as the input file.  At other angles, the fitted polynomial/binomial function may exhibit behavior that is not physical.

 

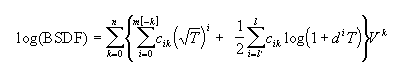
Binomial

 

Polynomial

 

 

Navigation


This feature can be accessed by selecting Tools > BSDF Data Fitting > Binomial/Polynomial Data Fitting from the menu.

 

 

Controls


Control

Inputs / Description

Defaults

Path

User file name

 

Browse

Open file dialog for file selection.  The data file is formatted in the same way as the Tabulated BSDF scatter model.

 

Function

Binomial

Binomial (plane symmetric)

Unselected

Polynomial

General polynomial

Unselected

Options

Generate out-of-plane data

Generate out-of-plane data from in-plane data.

Unchecked

Write data

Write data to file.

Unchecked

Ignore above maximum

Ignore data above given value.

Unchecked

Ignore above minimum

Ignore data below given value.

Unchecked

Optimize Lorentizian d

Find the optimum value for Lorentzian d parameter

Unchecked

Type

Diffuse

Select only the diffuse term.

Unselected

Lorentzian

Select only the polynomial term.

Unselected

d

Lorentzian factor.

10000

Both

Select both Diffuse and Lorentzian terms.

Selected

Fit

Fit to a specific function

Use only the specific n m l l’ parameters provided.

Selected

Regression fit

Fit to all combinations of n m l l’.

Unselected

Interp/sample

When toggled, additional data points are added to the input data set by interpolation before fitting is performed.  The value is interpreted as a multiplier on the number of data points input from the file.  For example, if a multiplier of 2 is used, there will be 2x the number of input data points used for fitting with half of them coming from interpolation.

Unchecked

Parameters

n m l l’

Summation index parameters. When the "Regression fit" option is selected, the user enters the minimum and maximum parameter value ranges that should be attempted to be fit.  If the "Fit to a specific function" option is selected, then the summation index parameters are explicitly entered.

0, 0, 0, 0

Read Data Samples

Info

Number of samples read for fitting.

 

Fit Error Summary

Table

Tabulates specific/regression results.

 

 

Create Model

Create model and add to FRED document.

 

Close

Close dialog box.

 

Perform Fit

Fit data using input parameters. Keeps dialog box open and displays results.

 

Help

Access this Help page.

 

 

 

 

Related Topics


Harvey/ABg Data Fitting

Create New Scatter Model

Tools Menu Summary

 

 

 

 

 

Copyright © Photon Engineering, LLC