|
Description
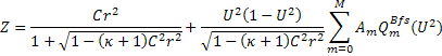
The QBfs Surface type is implements the Forbes QBfs type polynomial asphere. In FRED version 18.61 and earlier, the surface form is given by the "legacy" equation below and follows from the provided references.

References for "legacy" surface form:
“Shape specification for axially symmetric optical surfaces”, G.W. Forbes, OPTICS EXPRESS 5218, 16 Apr 2007, Vol. 15, No. 8
“Robust and fast computation for the polynomials of optics”, G.W. Forbes, OPTICS EXPRESS 13851, 7 June 2013, Vol. 18, No. 13
“Robust, efficient computational methods for axially symmetric optical aspheres”, G.W. Forbes, OPTICS EXPRESS 19700, 13 September 2010, Vol. 18, No. 19
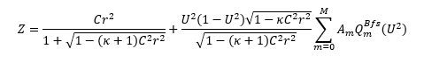
In FRED version 18.61 and newer, the surface form can be specified using the "enhanced" form below. This is the recommended form and will provide compatibility with other optical raytracing programs.
.png)
Reference for "enhanced" surface form:
"Manufacturability estimates for optical aspheres", G.W. Forbes, OPTICS EXPRESS 9923, 9 May 2011, Vol. 19, No. 10.
In the sag equation above:
C = curvature of the surface (1/R)
k = conic constant
r2 = x2 + y2
U = r/rmax, with rmax being the maximum surface semi-aperture
Am = Forbes QBfs (mild type) coefficients
Qm = Orthogonal QBfs polynomial terms
Navigation
This feature can be accessed by selecting Qbfs Surface (Conic surface deformed by Forbes Qbfs polynomials) as the surface type on the Surface tab of a surface dialog box.
Controls
|
Control
|
Inputs / Description
|
Defaults
|
|
Logical Parent
|
Name of Parent entity.
|
Custom Element Name
|
|
Name
|
Name of surface supplied by user.
|
Surf n
|
|
Description
|
Description of the surface.
|
|
|
Traceable
|
Surface can be raytraced.
|
Checked
|
|
Use for trimming only
|
Never raytrace. Surface used for trimming only.
|
Unchecked
|
|
Type
|
Surface type. Select Qbfs Surface (Conic surface deformed by Forbes Qbfs polynomials)
|
Plane
|
|
Surface Settings
|
|
Rad
|
Base surface radius of curvature (or base surface curvature, depending on preference settings)
|
0
|
|
Conic
|
Conic constant.
|
0
|
|
Norm
|
Normalization radius.
|
1
|
|
Form
|
Specifies the form of the QBfs surface function to be used. The "enhanced" option implements a modified version of the surface sag equation that is compatible with other optical raytracing programs. The "legacy" option implements the surface form used in FRED versions 18.61 and earlier. The "enhanced" form is recommended, unless backward compatibility with previous versions of FRED is required.
|
enhanced
|
|
0, 1, 2, 3...
|
Coefficients of the QBfs polynomial terms. Note that a new coefficient row is not added until a number is entered in the previous row.
|
0
|
|
|
|
OK
|
Accept settings and close dialog box.
|
|
|
Cancel
|
Discard settings and close dialog box.
|
|
|
Apply
|
Accept settings and keep dialog box open.
|
|
|
Help
|
Access this Help page.
|
|
Related Topics
Surface types summary
Create a new surface
|
Copyright © Photon Engineering, LLC
|
|