Navigation: Scripting Reference Manual > Functions & Subroutines > BlackBodyFractionalEnergy

 

BlackBodyFractionalEnergy

 

Contact Us: fredsupport@photonengr.com

 

Description

Calculates the fractional radiance (or radiant power) in the given waveband from a black body of the given temperature.

 

Syntax

frac = BlackBodyFractionalEnergy ( wav1, wav2, temp )

 

Parameters

frac (Double)

The fractional power emitted in the waveband relative to the total power emitted over all wavelengths.

 

wav1 As Double

Starting wavelength (microns) used in the calculation.

 

wav2 As Double

Ending wavelength (microns) used in the calculation.

 

temp As Double

Temperature (degrees Kelvin) of the black body.

 

Remarks

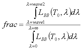
This function calculates the fractional black-body radiance (or radiant power) in the given waveband between wav1 and wav2 from a black body of the given temperature. It does this by integrating between wav1 and wav2 the function given by Planck’s black-body radiation law at the given temperature temp and dividing that result by the integral of the same function over the entire wavelength spectrum. This is shown in the equation given below.

 

 

See Also

BlackBodyFractionalPhotons

BlackBodyRadianceEnergy

BlackBodyRadiancePhotons

Examples

 

 

 

 

 

 

Copyright © Photon Engineering, LLC